Polinomi
Algebarski izrazi
Zadataka: 4
Algebarski izrazi - Zadatak 1 🔓
Algebarski izrazi - Zadatak 2
Algebarski izrazi - Zadatak 3
Algebarski izrazi - Zadatak 4
Polinomi
Zadataka: 6
Polinomi - Zadatak 1
Polinomi - Zadatak 2
Polinomi - Zadatak 3
Polinomi - Zadatak 4 🔓
Polinomi - Zadatak 5
Polinomi - Zadatak 6
Sabiranje polinoma
Zadataka: 6
Sabiranje polinoma - Zadatak 1
Sabiranje polinoma - Zadatak 2
Sabiranje polinoma - Zadatak 3 🔓
Sabiranje polinoma - Zadatak 4
Sabiranje polinoma - Zadatak 5
Sabiranje polinoma - Zadatak 6
Oduzimanje polinoma
Zadataka: 3
Oduzimanje polinoma - Zadatak 1
Oduzimanje polinoma - Zadatak 2
Oduzimanje polinoma - Zadatak 3
Množenje polinoma
Zadataka: 18
Množenje polinoma - Zadatak 1
Množenje polinoma - Zadatak 2
Množenje polinoma - Zadatak 3
Množenje polinoma - Zadatak 4
Množenje polinoma - Zadatak 5
Množenje polinoma - Zadatak 6
Množenje polinoma - Zadatak 7
Množenje polinoma - Zadatak 8 🔓
Množenje polinoma - Zadatak 9
Množenje polinoma - Zadatak 10
Množenje polinoma - Zadatak 11
Množenje polinoma - Zadatak 12
Množenje polinoma - Zadatak 13
Množenje polinoma - Zadatak 14
Množenje polinoma - Zadatak 15
Množenje polinoma - Zadatak 16
Množenje polinoma - Zadatak 17
Množenje polinoma - Zadatak 18
Deljenje polinoma
Zadataka: 3
Deljenje polinoma - Zadatak 1
Deljenje polinoma - Zadatak 2
Deljenje polinoma - Zadatak 3
Kvadrat binoma
Zadataka: 5
Kvadrat binoma - Zadatak 1
Kvadrat binoma - Zadatak 2
Kvadrat binoma - Zadatak 3 🔓
Kvadrat binoma - Zadatak 4
Kvadrat binoma - Zadatak 5
Razlika kvadrata
Zadataka: 5
Razlika kvadrata - Zadatak 1
Razlika kvadrata - Zadatak 2
Razlika kvadrata - Zadatak 3
Razlika kvadrata - Zadatak 4 🔓
Razlika kvadrata - Zadatak 5
Rastavljanje polinoma na činioce
Zadataka: 18
Rastavljanje polinoma na činioce - Zadatak 1
Rastavljanje polinoma na činioce - Zadatak 2
Rastavljanje polinoma na činioce - Zadatak 3
Rastavljanje polinoma na činioce - Zadatak 4
Rastavljanje polinoma na činioce - Zadatak 5
Rastavljanje polinoma na činioce - Zadatak 6 🔓
Rastavljanje polinoma na činioce - Zadatak 7
Rastavljanje polinoma na činioce - Zadatak 8
Rastavljanje polinoma na činioce - Zadatak 9
Rastavljanje polinoma na činioce - Zadatak 10
Rastavljanje polinoma na činioce - Zadatak 11
Rastavljanje polinoma na činioce - Zadatak 12
Rastavljanje polinoma na činioce - Zadatak 13
Rastavljanje polinoma na činioce - Zadatak 14
Rastavljanje polinoma na činioce - Zadatak 15
Rastavljanje polinoma na činioce - Zadatak 16
Rastavljanje polinoma na činioce - Zadatak 17
Rastavljanje polinoma na činioce - Zadatak 18
063 136 84 65
Prijavi se
Početna
Matematika
Matematika za 5. razred
Prirodni brojevi
Skupovi
Osnovni pojmovi geometrije
Deljivost brojeva
Ugao
Razlomci – I deo
Razlomci – sabiranje i oduzimanje
Razlomci – množenje, deljenje i primena
Osna simetrija
Matematika za 6. razred
Celi brojevi
Trougao
Racionalni brojevi
Četvorougao
Površina trougla i četvorougla
Matematika za 7. razred
Realni brojevi
Pitagorina teorema
Stepenovanje
Mnogougao
Polinomi
Zavisne veličine i njihovo grafičko predstavljanje
Krug
Matematika za 8. razred
Sličnost trouglova
Tačka, prava i ravan
Jednačine i nejednačine sa jednom nepoznatom
Prizma
Piramida
Linearna funkcija
Sistemi jednačina sa dve nepoznate
Valjak
Kupa
Završni ispit 2026.
Osnovni nivo
Napredni nivo
Fizika
Fizika za 6. razred
Fizika za 7. razred*
PRETPLATI SE
Prethodni zadatak
Sledeća lekcija
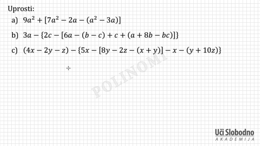
Oduzimanje polinoma - Zadatak 3
Polinomi
Oduzimanje polinoma
Upsss!!!
Video u kome je objašnjen način rešavanja ovog zadatka je zaključan.
OTKLJUČAJ VIDEO
Imaš aktivnu pretplatu? Prijavi se
OVDE
.
Uputstvo za kupovinu pretplate
Prethodni zadatak
Sledeća lekcija
Vrati se na lekciju
times-circle
facebook-square
phone-square
bars
caret-down
envelope
youtube-play
instagram
Prijavi se
Korisničko ime ili adresa e-pošte
Lozinka
Zapamti me
Zaboravili ste lozinku?